مرجل الماء الساخن الفولاذية من نوع فاير تيوب (Fire Tube) يُعدّ من أهم المعدات في قلب أنظمة التدفئة المركزية للمباني. وفيما يلي يتم عرض المواصفات الفنية، ضغط التشغيل، آلية الاختيار، وأسعار شراء مراجل المياه الساخنة والمياه الحارة المصنوعة من الفولاذ.
وبشكل عام فان غلاية الماء الساخن أو الماء المغلي الفولاذية تقوم عن طريق استخدام الحرارة الناتجة عن الحرّاق والتبادل الحراري (بين أسطح امتصاص الطاقة الحرارية) بعمليات توفير الحرارة اللازمة لنظام التدفئة المركزية للمبنى في الصناعة والمنشآت. وتُصنف غلايات الماء الساخن الفولاذية وبغض النظر عن سعتها وأبعادها وضغطها الوظيفي إلى "غلايات أنابيب النار- فاير تيوب" و "غلايات أنابيب المياه- ووتر تيوب".
ملحوظة: نظرا إلى أهمية أسطح التبادل الحراري في مراجل الماء الساخن والماء المغلي الفولاذي ومراجل بخار أنابيب النار، فان المُصنعين المعتمدين لهذا المنتج يستفيدون من سطح قاع الغلاية لحركة دوران الماء والتبادل الحراري وذلك بهدف زيادة أسطح التبادل الحراري وفقا للأساليب والخرائط التنفيذية القياسية، إذ تُطلق على هذه الغلايات تسمية "الغلايات ذات الظهر الرطب" (Wet Back)، وطبيعي أن غلايات الظهر الرطب، تملك أداء أفضل من حيث تكلفة الإنتاج ومردود التبادل الحراري، وسعر كلفة أكبر مقارنة بالغلايات ذات الظهر الجاف "Dry Back".

تُصنف غلايات الماء الساخن والماء المغلي الفولاذية بشكل عام إلى عدة أنواع من ناحية نوعية التصميم والتطبيقات ودرجة حرارة بيئة العمل والسعة والضغط الوظيفي. إن أنواع مراجل الماء الساخن الفولاذية لغرفة الآلات وبغض النظر عن السعة والضغط الوظيفي والأبعاد هي كالتالي:
أثناء الاختيار والطلب على شراء غلاية الماء الساخن أو الماء المغلي الفولاذية اللازمة للمشروع أو المجموعة الصناعية ذات الصلة، لا بد من الاهتمام بالنقاط التالية:
إن أفضل اختيار في الوقت الحاضر لغلايات الماء الساخن التي تزيد سعتها عن 500,000 كيلوكالوري في الساعة، هي غلايات الماء الساخن أو المغلي ثلاثية الممرات ذات الظهر الرطب بالكامل بالأفران الرئيسية والفرعية المموجة. وهذه الغلايات تملك أنابيب مقاومة للحريق وآلة اضطرابية أو ملولبة، وتحظى بأكبر مردود وعمر إنتاجي في غلايات أنابيب النار.

لذلك يجب أثناء الطلب على شراء وتسلم غلايات الماء الساخن أو المغلي الفولاذية، الاهتمام بالكامل بالمواصفات الفنية والسعة الحقيقية والضغط الوظيفي وطريقة صنع الفرن وأنابيب الغلاية، والانتباه بوعي إلى العموميات والعبارات العامة من مثل "أفران الغلاية تُصنع وفقا للمواصفات القياسية في سعات محددة وبصورة مموجة" والاستفسار بصراحة من الشركة المنتجة عما إذا كان مرجل الماء الساخن الذي تنتجه يملك فرنا رئيسيا وفرعيا مموجا وما إذا كانت الأنابيب المقاومة للحريق ملولبة أم لا؟
تُعتبر غلاية الصناعية الساخن الفولاذية من بين أكثر الخيارات شيوعًا لدى مهندسي التكييف. ومن أبرز مزاياها مقارنةً بـ مراجل الحديد الزهر والأنواع الأخرى لغرفة المحركات و محطة التدفئة ما يلي:
نظرا إلى أن غلايات الماء الساخن أو البخار الفولاذية، تعد من أهم المعدات الرأسمالية والرئيسية في غرفة الآلات الصناعية ومشاريع البناء والتشييد، فان مُصنعي هذا المنتج يتعين عليهم تصنيعه وعرضه وفقا للمواصفات القياسية المقبولة دوليا في تصنيع غلايات الماء الساخن أو الماء المغلي من حيث التصميم والمادة التي تُصنع منها الحاوية وحجرة الاحتراق والشبكات، ومن أجل ذلك يجب استخدام الفولاذ السبائكي الخاص بصناعة الخزانات تحت الضغط والحرارة بما يتطابق مع DIN 17MN4 أو ASMEA516/G70، وبالنسبة لأنابيب المراجل، يجب استخدام الأنابيب المقاومة للحريق قياسية بلا شقوق DIN ST 35.8، مع قابلية التمدد المناسب.
بعبارة أخرى، حتى مع استخدام الفولاذ السبائكي والأنابيب المقاومة للحريق المذكورة آنفا بجودة عالية، فان ذلك لا يمكن له ضمان الأداء والمردود وطول العمر الإنتاجي لغلاية الماء الساخن الفولاذية، لذلك يتطلب الأمر صناعة وإنتاج غلايات الماء الساخن والبخار بالافادة من المخططات المصادق عليها وكذلك الأساليب المحددة والمقبولة من حيث المواصفات القياسية الدولية.
ويكتسي هذا الأمر أهمية لدرجة أنه من غير المبرر إنتاج غلايات الماء الساخن أو البخار الفولاذية من دون الإستفادة من المخططات الدولية المُصاغة والمصادق عليها (حتى على افتراض استخدام أجود أنواع الفولاذ ومعدات الإنتاج) حتى على يد أبرز منتجي الغلايات.
والنقطة المهمة الأخرى فيما يخص تصنيع وإنتاج غلايات الماء الساخن أو البخار الفولاذية القياسية، هي كيفية ربط الأنابيب المقاومة للحريق لأنابيب النار بأنابيب صفائح بداية ونهاية الغلاية. وهذا الربط والاتصال يجب أن يتم بالضرورة بطريقة التمديد، ما عدا، الأنابيب المقاومة وداخل الفرن الفرعي، إذ يجب أن يحصل ذلك أيضا وفقا للمعايير القياسية وبطريقة تمديد اللحام وبالإفادة من الأجهزة الخاصة التي تحظى بتأييد "إيساب" من أجل تلحيم الشبكة لغلايات الماء الساخن أو البخار.
وإضافة إلى ذلك، فان جميع الأنابيب الفولاذية المقاومة للحريق المستخدمة في تصنيع غلايات الماء المغلي والبخار يجب أن تكون من الأنابيب الملولبة، لتتم حركة اللهب والدخان بداخلها على شكل تدفق التوربولان وبأكبر حجم من التبادل الحراري في جسم الأنابيب الملولبة وباكبر سطح للتبادل الحراري.
نظرًا لأن مرجل الماء الساخن/البخار الفولاذية تُعد من أهم وسائل ومكوّنات غرفة المرجل محطة التدفئة، فإن على المصنّعين إنتاجها وفقًا للمعايير الدولية المقبولة في تصميم وبناء غلاية البخار الصناعية الفولاذية من حيث التصميم ومادة الجسم (الغلاف) والفرن أو غرفة الاحتراق، ويجب أن تُصنع الشبكات من فولاذ سبائكي خاص مُخصص لأوعية الضغط والحرارة وفقًا لمعيار DIN 17MN4 أو ASMEA516 / G70.
كما أن أنابيب الغلاية البخار الصناعية يجب أن تكون من أنابيب نارية غير ملحومة وفقًا لمعيار DIN ST 35.8 مع إمكانية لحام مناسب أو تمدد. وبعبارة أخرى، حتى استخدام الفولاذ عالي الجودة والأنابيب النارية المذكورة أعلاه لا يكفي وحده لضمان الأداء والكفاءة والعمر الافتراضي لمراجل الماء الساخن الفولاذية.
لذلك، من الضروري تصنيع وإنتاج مراجل الماء الساخن والبخار باستخدام مخططات معتمدة ووفقًا لطرق محددة ومعايير دولية مقبولة.
هذا الأمر مهم جدًا لدرجة أن تصنيع مرجل ماء ساخن أو بخار فولاذي دون استخدام مخططات موثقة ومعتمدة دوليًا (حتى مع افتراض استخدام أفضل أنواع الفولاذ ومعدات الإنتاج)، وحتى من أشهر المصنّعين، لا يُعتبر ذا معيار صالح أو مبرر.
ومن النقاط المهمة الأخرى المتعلقة ببناء وإنتاج مرجل ماء ساخن قياسي، هي طريقة ربط مرجل أنبوب النار بلوحات الأنابيب الأمامية والخلفية للغلاية البخار الصناعية الفولاذية.
ويجب أن يتم هذا الربط بطريقة التمدد (waltz) باستثناء الأنابيب المقاومة داخل الفرن الفرعي، والتي يجب تنفيذها وفقًا للمعيار بطريقة اللحام بالتمدد باستخدام أجهزة خاصة معتمدة من ISAB لأعمال اللحام.
بالإضافة إلى ذلك، يجب أن تكون جميع أنابيب الفولاذ المقاوم للحريق المستخدمة في تصنيع غلايات الماء الحار والماء الساخن والبخار من نوع الأنابيب الحلزونية (سبايرال)، وذلك لكي تتحرك الشعلة والدخان داخلها على شكل جريان مضطرب (توربولان) وبأعلى مستوى من تبادل الحرارة، وليكون جسم الأنبوب الحلزوني ذا أكبر مساحة ممكنة لنقل الحرارة.
دماتجهیز؛ آلاف المنتجات لآلاف المشاريع في جميع أنحاء الشرق الأوسط (منذ عام 2004)

إن أهم فارق بين غلايات الماء الساخن الفولاذية وغلايات الماء المغلي الفولاذية، هو التباين في ضغطها الوظيفي. بمعنى أن الضغط الوظيفي (وبغض النظر عن سعة التسخين) في غلايات الماء الساخن هو نفسه ضغط هواء البيئة أي ما يساوي 1 وحدة جو (أتموسفير)، وفي هكذا ضغط، فان درجة حراة غليان الماء على أساس الارتفاع عن سطح البحر تتراوح ما بين 100 درجة مئوية ونحو 90 درجة مئوية للمناطق المرتفعة والجبلية.
لكن بالنسبة لغلايات الماء المغلي الفولاذية، فان الضغط الوظيفي يزيد عن 1 وحدة جو (أتموسفير) وبالتالي بامكاننا توصيل الماء إلى درجات حرارة أعلى من 100 درجة مئوية (تأسيسا على الضغط الوظيفي) من دون تحوله إلى بخار. وفي الحقيقة، فانه يتم في مراجل الماء المغلي الفولاذية التي لها استخدامات صناعية في الغالب، رفع ضغط النظام إلى مستوى 10 أو 20 وحدة جو (أتموسفير) (أقل أو أكثر) بحسب الحاجة إلى الماء المغلي في العمليات ذات الصلة، وسيكون حينها بالامكان الإستفادة من الماء (بشكله السائل) في درجات 120،160،200،300 و... مئوية وفقا للرسوم البيانية الثرموديناميكية.
يعتمد اختيارك بين مرجل أنبوب النار وغلاية أنبوب الماء لغرفة المحركات على نوع مشروعك وميزانيتك. فيما يلي أبرز ثلاثة فروقات رئيسية بين مرجل أنبوب الماء وغلاية أنبوب النار لمساعدتك على اتخاذ القرار المناسب:
في غلايات البخار الصناعية الفولاذية أنبوب النار، يمر اللهب والدخان الناتج عن المشعل عبر أنابيب المرجل ليسخّن الماء. أما في مراجل أنبوب الماء (مثل مراجل محطات الطاقة)، فإن حرارة المشاعل تحتل الحيّز الرئيسي للغلاية البخار الصناعية الفولاذية وتقوم بتسخين الماء. ومن الجدير بالذكر أن مراجل أنبوب الماء تتوافر بسعات عالية جدًا.
مرجل أنبوب الماء هو نوع من مراجل الماء الساخن المصمم للعمل عند ضغوط عالية. وتُستخدم هذه المراجل الفولاذية عادة في محطات الطاقة لإنتاج بخار تصل درجة حرارته إلى 550 درجة مئوية وبضغط تشغيل يزيد عن 100 بار.
أما ضغط التشغيل في مراجل أنبوب النار فلا يتجاوز 30 بار. حيث تحتوي غلاية البخار الصناعية الفولاذية على أنابيب فولاذية طويلة تمر عبرها الغازات الساخنة الناتجة عن الفرن، في حين يدور الماء المطلوب تحويله إلى بخار أو ماء ساخن بداخلها.
يمكن أن تكون غلاية أو مرجل أنبوب النار خيارًا أفضل من حيث تكلفة الإنشاء والصيانة. وبعبارة أخرى، فإن مراجل أنبوب النار أكثر اقتصادية مقارنةً بمراجل أنبوب الماء لمحطة التدفئة.
دماتجهیز؛ دليل شامل لاختيار وشراء أنظمة التكييف وتجهيزات المباني في الشرق الأوسط (منذ عام 2004)
نظرا إلى أهمية الحَمْل الحراري (انتقال الحرارة بالحَمْل) (Convection) في زيادة مردود غلايات الماء الساخن الفولاذية، فان استخدام التكنيكات التي تسهم في انتقال الحرارة آخذ بالتزايد في الوقت الحاضر. وتأسيسا على الدراسات الكاملة التي أنجزت بشأن زيادة الحمل الحراري، والمعروفة بـ V.H.T.E (Vortex Heat Transfer Enhancement)، وكما هو واضح من تسميتها، فان العمل يقوم على قاعدة تقوية دُوامة الماء الساخن. إن أحد الأساليب الأكثر استعمالا هو أسلوب V.H.T.E، والإفادة من التموج في الأفران والأنابيب المقاومة للحريق في مراجل البخار والماء الساخن، ويؤدي من خلال إنتاج المزيد من اضطراب التيار السائل، إلى زيادة انتقال الحرارة بالحمل وبالتالي زيادة المردود وانتقال الحرارة في مراجل البخار والماء الساخن ذات أنابيب المياه.
وقد أظهرت الدراسات أن انتقال الحرارة داخل الفرن والأنابيب المموجة بالكامل أو الفرن الرئيسي والفرعي للمراجل، يحظى بنموذج معقد للغاية، لكن إجمالا ووفقا للرسم البياني التالي، فان الحمل الحراري في الفرن والأنابيب المموجة تماما داخل المراجل الفولاذية، وفي أماكن التموج، يزيد بخمسة أضعاف تقريبا عن الانتقال الحراري في الفرن والأنابيب المستوية. كما أن الإشعاع الحراري (انتقال الحرارة بالإشعاع) في الأنابيب المموجة تماما يزداد هو الاخر بسبب التموجات الكثيرة وتزايد سطحها، وبالتالي فان حصيلة زيادة الحمل الحراري بطريقة V.H.T.E والإشعاعي، بسبب التموجات الكثيرة في الفرن والأنابيب المموجة بالكامل، يتمثل في زيادة مردود مراجل البخار والماء الساخن الفولاذية بنسبة كبيرة.
كما أن أهمية الأنابيب اللولبية لنقل اللهب والدخان الناتج عن الاحتراق في غلايات أنابيب النار، وكذلك تموج حجرة الاحتراق، ضروريتان في إنتاج الغلايات الفولاذية ذات أنابيب النار في هذه الصناعة.

دماتجهیــز؛ توفير أنظمة ومعدات التكييف في الشرق الأوسط (منذ عام 2004)
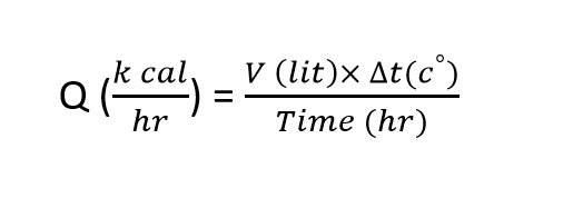
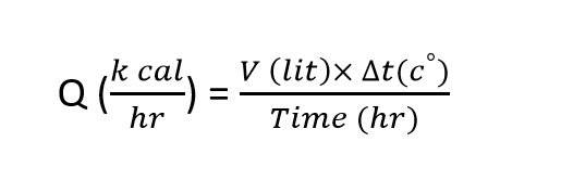
من أجل تلبية الحاجة التقريبية للتدفئة في المسابح وأحواض الجاكوزي وما إلى ذلك، يُضاف ذلك إلى سعة الغلاية البخار الصناعية الفولاذية محطة التدفئة باستخدام المعادلة التالية.

في هذه المعادلة، يتم حساب حجم ماء المسبح بالليتر، وفارق درجة الحرارة يُحسب بالدرجة المئوية.
عادةً ما يكون فرق درجة حرارة الماء الداخل إلى المسابح (وفقًا لدرجة حرارة مواسير المياه 10-12 درجة مئوية) حوالي 20 درجة مئوية، أما فرق درجة حرارة الماء الداخل إلى الجاكوزي فيُعتبر حوالي 30 درجة مئوية. ويجب إدخال هذه الأرقام في المعادلة السابقة كقيمة (ΔT).
مع العلم أن زمن تسخين مسبح أو جاكوزي لا يتبع قاعدة أو معيارًا محددًا ويعتمد على عوامل عديدة مثل نوع استخدام المسبح، إلا أن متوسط زمن تسخين الماء في المسابح الداخلية يتراوح بين 18 و24 ساعة، وفي المسابح العامة بين 48 و72 ساعة، وفي الجاكوزي بين 4 و8 ساعات.
ملاحظة: كمية التدفئة الناتجة عن المعادلة أعلاه مناسبة للمسابح الداخلية وأحواض الجاكوزي. أما بالنسبة للمسابح الخارجية فيجب ضرب هذه القيمة ×2.
لا شك أن مراجل التسخين الماء الساخن المكثفة تتمتع نظريًا بكفاءة عالية بسبب إمكانية امتصاص الحرارة الكامنة في بخار الماء الناتج عن الاحتراق.
لكن لتحقيق هذه الكفاءة يجب خفض درجة حرارة الماء العائد إلى المرجل إلى أقل من درجة حرارة نقطة الندى، وهو الشرط الأساسي لعمل التكثيف في غلاية البخار الصناعية الفولاذية.
في الواقع، يعمل المرجل المكثف بنظام التكثيف فقط في نطاق محدد من درجات حرارة سائل ناقل الحرارة. وفي غير ذلك يعمل مثل أي غلاية البخار الصناعية الفولاذية عادي من حيث الكفاءة.
وباختصار، على الرغم من الادعاء بأن كفاءة المراجل المكثفة تتراوح بين "92% إلى 94%"، إلا أن هذه النسبة تواجه تحديات جدية لأسباب تقنية واقتصادية متعددة، كما سيتم ذكر بعضها باختصار أدناه.

في الواقع، تعمل الغلاية المكثفة على التكثيف فقط في نطاق معين من درجة حرارة سائل نقل الحرارة. للأسف، في الحالات الأخرى، تعمل مثل الغلاية العادية من حيث الكفاءة.
باختصار، يمكن القول إنه على الرغم من الادعاء بأن الغلايات المكثفة تحقق كفاءة تتراوح بين 92% و 94%، إلا أن هذا الادعاء يواجه تحديات كبيرة من الناحية التقنية والاقتصادية، التي سيتم ذكر بعضها باختصار أدناه.
أساسًا، تواجه مراجل الماء الساخن المكثفة تحديًا يُسمى انخفاض درجة حرارة الماء العائد؛ فبحسب المنحنى رقم 1، لكي تحقق هذه المراجل كفاءة 96%، يجب أن تكون درجة حرارة الماء العائد إلى الغلاية البخار الصناعية الفولاذية 90°F (حوالي 50°C).
وعند عودة الماء بدرجة حرارة 55°C (حوالي 130°F)، تصل كفاءة المرجل المكثف إلى 87%، وهي تعادل أقصى كفاءة لمراجل أنبوب النار ثلاثية المسارات الرطبة بالكامل المزودة بمشاعل رئيسية وثانوية وأنابيب حلزونية مموجة.
وفي إنجلترا، أكثر من 90% من الغلايات البخار الصناعية الفولاذية المكثفة لم تعمل أبدًا في وضع التكثيف، بل استُخدمت في وضعها غير المكثف. والسؤال المهم هنا هو: "ما المبرر لبناء أكبر مرجل مكثف في العالم؟"
تُظهر المنحنيات المقدمة فقط القيم القصوى للكفاءة، أما الكفاءة الفعلية لمراجل الماء الساخن المكثفة فهي تتغير مثل بقية المراجل ضمن النطاق من A إلى G. وفي الوقت نفسه، لا يوجد حتى الآن معيار رسمي لإجراء اختبارات لتحديد كفاءة مراجل الماء الساخن من قبل الهيئات القانونية. وبالتالي فإن الكفاءة المعلنة غير مدعومة بالاختبارات اللازمة.
إلى جانب جميع مشاكل الصيانة والإصلاح وتوفير قطع الغيار، والمشكلات الناتجة عن ضبط حرارة مياه الجاكوزي أقل من 40°C، والسعر المرتفع لهذه المراجل، فإن كفاءتها الاسمية في أفضل الظروف لا تزيد أكثر من 6% عن كفاءة مراجل أنبوب النار ثلاثية المسارات الرطبة بالكامل.
وهو ما لا يملك مبررًا اقتصاديًا أو علميًا. ووفقًا لمجلة "الغارديان" البريطانية، حتى في بلد مثل إنجلترا ورغم ارتفاع أسعار الوقود، لم تتمكن هذه المراجل من تبرير سعرها المرتفع، واشتكى المستهلكون من عدم انخفاض التكاليف التشغيلية رغم التكلفة الأولية العالية لهذه الأجهزة.
نظرًا لأهمية مشعل الغلاية البخار الصناعية الفولاذية باعتباره قلب نظام التدفئة المركزية في المباني، ولضرورة أخذ احتمال الأعطال والفشل في تشغيله (على المدى الطويل) بعين الاعتبار، بالإضافة إلى الحاجة لتوفير أكبر قدر ممكن من استهلاك الوقود.
إذا كان عدد الوحدات السكنية في المبنى 8 وحدات أو أكثر، أو إذا كانت المساحة الإجمالية للبدروم المفيد للمبنى أكثر من 1000 متر مربع، فإنه وفقًا لمعايير التركيب يُوصى بتركيب مرجلين فولاذيين للماء الساخن لغرفة المحركات، كل منهما قادر على توفير 60% من السعة الحرارية المطلوبة للمبنى بأكمله.
في المباني العامة مثل المستشفيات والفنادق وغيرها، وبغض النظر عن نوع المرجل المُستخدم (حديد زهر أو فولاذي)، يُوصى وفقًا للمعايير الهندسية الدولية بتركيب 3 مراجل لمحطة التدفئة.
ويجب أن يتمتع كل منها بقدرة كافية لتغطية 75% من احتياجات المبنى الحرارية، بحيث في حالة تعطل أحدها يمكن لغلاية البخار الصناعية الفولاذية واحد فقط أن يؤمّن الجزء الأكبر من متطلبات التدفئة.

نظرًا لأهمية غرفة المحركات أو غرفة الطاقة كمصدر للتبريد والتدفئة، يُوصى بأن يتم اختيار موقعها بحيث يتيح سهولة النقل، مع وجود باب دخول واسع يسمح بإدخال المعدات المختلفة.
كما يجب أن تكون الغرفة بمساحة مناسبة تُسهّل عملية التركيب والفحص والإصلاحات المحتملة، وأن تتوفر فيها إضاءة كافية وتهوية مناسبة.
هناك عوامل أخرى مهمة يجب أخذها بعين الاعتبار عند حساب سعة مرجل الماء الساخن الفولاذي لاحتياجات المبنى، ومن أبرزها:
بعد اختيار الغلاية البخار الصناعية الفولاذية الأنسب وقبل نقله، يجب تسوية القاعدة في مكان تركيب المرجل وتنفيذها بالأبعاد المناسبة. بحيث يمكن وضع المرجل مباشرة على الأساس المُعد له في غرفة المحركات بعد عملية النقل.
فيما يلي أهم 5 عوامل ونصائح يجب أخذها بعين الاعتبار عند تركيب غلاية البخار الصناعية الفولاذية:
دماتجهیـز؛ ؛ أفضل الأسعار والعلامات التجارية الموثوقة لأنظمة التكييف وتجهيزات المباني في الشرق الأوسط (منذ عام 2004)
فيما يلي أحد عشر توصية لزيادة عمر مرجل الماء الساخن الفولاذي:

إن أحد أهم الموضوعات في مجال تصميم وإنتاج غلايات الماء الساخن الفولاذية (الماء الساخن والماء المغلي والبخار) تتمثل في تطابق كافة أجزاء التصنيع والمكونات والمعدات والتحكم والوصول والفحص و... مع المواصفات القياسية المعترف بها في تصميم وإنتاج غلايات الماء الساخن والماء المغلي ذات أنابيب النار وتطابق وتأييد تصنيع كل مرجل مع المخططات التنفيذية والتعليمات المتعلقة بتصنيع وتصميم المراجل للماركات المعتمدة والمعروفة دوليا.
ولاختيار وشراء غلايات الماء الساخن الفولاذية لغرفة الآلات المناسبة، يجب بداية تحديد سعة مرجل الماء الساخن المطلوب وضغطه الوظيفي وباقي خصائصه. وتقدم مجموعة "دما تجهيز" التخصصية، المواصفات الفنية لعشرات الموديلات من أنواع غلايات الماء الساخن الفولاذية للماركات المعتمدة مع ضمان رئيسي من أجل أن تتمتعوا أنتم الأعزاء بمشاعر طيبة في الشراء الأمثل والذكي.
تتوفر مراجل الماء الساخن الفولاذية في نطاق واسع من الأسعار. يعتمد سعر الغلاية البخار الصناعية الفولاذية بشكل مباشر على سعتها وجودة تصنيعها ومدى التزامها بأحدث المعايير، وما إلى ذلك. ومع ذلك، تتراوح الأسعار في السوق العالمية بين 250 و3000 دولار أمريكي.
يوفر دما تجهيز، المركز المتخصص لمعدات التكييف والميكانيكا الكهربائية، أنواعًا مختلفة من مراجل الماء الساخن المصنوعة من الحديد الزهر والفولاذ بأعلى جودة وبأفضل الأسعار التنافسية. يمكنك العثور على أحدث الموديلات من الغلايات البخار الصناعية الفولاذية في نطاق 250 إلى 2700 دولار أمريكي.
قم في مجموعة "دما تجهيز" التخصصية، باختيار ودراسة أنواع غلايات الماء الساخن الفولاذية بأفضل الأسعار. إن أسعار غلايات الماء الساخن الفولاذية مختلفة باختلاف الموديلات والماركات المتوافرة.
أعزاؤنا المستخدمين
مع شكرنا لثقتكم بآراء خبراء مبيعات معدات التدفئة، نود أن نلفت الانتباه إلى أن اختيار العلامة التجارية للمنتج المطلوب يعتمد على السعة وضغط التشغيل للمرجل، ولوحة المواصفات القياسية، والتاريخ، وقوة العلامة التجارية، وخدمة ما بعد البيع، وسعر المنتج، وهو ما يقرره المشتري في النهاية.
لكن في مراجل الماء الساخن، يختار معظم المستخدمين والمشترين العلامات التجارية الأكثر مبيعًا مثل حرارت گستر، باكمن، گرما گستر، آذر دما گستر، وآذران صنعت إمرتات نظرًا لجودتها وسعرها وخدمات ما بعد البيع.
وبما أن مجموعة دما تجهيز المتخصصة توفر جميع أنواع غلاية البخار الصناعية في منطقة الشرق الأوسط، فإذا كنت بحاجة إلى مرجل ماء ساخن لأي من دول المنطقة، يمكنك تقديم طلب الشراء بثقة مع ضمان المنتج وسعر مناسب. يرجى ترك الأمر لخبراء المبيعات لدينا.
يمكنكم طلب أي من منتجات HVAC و MEP مثل أنواع مكيفات سبليت الإير وشر، أبراج التبريد، وحدات مناولة الهواء، تشيلر التبريد، المكيفات التبخيرية الصناعية، ستائر الهواء، المشاعل، الغلايات الحديدية أو الفولاذية، المبادلات الحرارية، المدافئ الغازية، الوحدات الحرارية (يونيت هيتر)، سخانات مروحة صناعية، مضخات الدوران، الفلاتر الرملية، خزانات تخزين المياه والوقود وغيرها، من دول مثل العراق، الإمارات، عُمان، أرمينيا، طاجيكستان، جورجيا، أذربيجان، تركيا، البحرين، باكستان، تركمانستان، أفغانستان، الكويت، قطر وغيرها في آسيا والشرق الأوسط وأوروبا، واستلامها في مدينتكم (المنامة، بغداد، كراتشي، دبي، الشارقة، مسقط، الرياض، أبوظبي، مدينة الكويت، جدة، صنعاء، الدوحة، عمّان، السليمانية، صوفيا، كركوك، إسلام آباد، الموصل، أربيل، دوشنبه، حلب، دمشق، باكو، بيروت، كابول وغيرها) بأسرع وقت. يرجى التواصل معنا عبر الاتصال الهاتفي أو من خلال رسالة واتساب على الرقم: 0251-288-930-98+.

"المعرفة تغذي الخيارات الأفضل."

العلامة التجارية المسجلة وتصاريح الأعمال الصادرة عن اتحاد الأعمال الافتراضية وصناعة معدات التكييف (HVAC) 
مشاركة DamaTajhiz HVAC في المعارض الدولية لمعدات التكييف ومرافق البناء تعكس مدى انتشارها العالمي والتزامها تجاه الصناعة.

نتطلع إلى اتصالكم وفرصة اللقاء بكم.
شارك هذا المحتوى لنشر المعرفة.
| |
المكتب الرئيسي : طهران - شارع طالقاني - بين شارع مفتح وشارع بهار - زقاق طالبیان - بناية 463
المصنع : طريق ساوه القديم - بعد طريق آدران الثلاث طرق - مدينة قلعه مير الصناعية - شارع رینک کار - رقم 20


دماتجهيز هي المجموعة المتخصصة الأولى (منذ عام 2004) والأكثر شهرة في مبيعات معدات التهوية والتدفئة والتكييف (HVAC) وغيرها عبر الإنترنت في الشرق الأوسط. بالإضافة إلى إيران، من الممكن بيع وإرسال معدات HVAC المتخصصة إلى الزبائن الأعزاء في البلدان التالية: إن زبائننا الأعزاء في دول العراق - سوريا - كازاخستان - تركمانستان - أوزبكستان - طاجيكستان - أفغانستان - الأردن - الكويت - الإمارات - قطر - عمان هم من أهم زبائن منتجات دماتجهيز.